近日,完场足球赛果
人机与环境工程系张俊教授和马文军硕士生在流体领域顶级期刊《Journal of Fluid Mechanics》发表了题为“Data-driven discovery of governing equations for fluid dynamics based on molecularsimulation”的研究工作,将分子模拟和机器学习相结合,提出了从分子运动出发,通过数据驱动发现流体力学控制方程的新模式,为微观和宏观耦合提供了新思路。
历史上,流体力学基本方程的建立主要有两种方法。第一种方法是以连续介质假设为基础,选取流场中的一个流体微元,根据其质量、动量和能量的转换和守恒定律推导出流体力学的三个基本方程:连续性方程、动量方程和能量方程。要注意的是,该方法推导得到的动量和能量方程中的应力和热流本构关系是未知的,需要根据流体的性质构造本构关系,从而封闭方程。第二种方法是以分子动理论(kinetic theory)为基础,先建立分子速度分布函数的控制方程——Boltzmann方程,通过对速度分布函数在平衡态附近进行渐进展开,得到流体力学的宏观方程,该方法通常称为Chapman-Enskog渐进展开。更明确的是,分布函数的零阶近似对应流体力学中常用的Euler方程,一阶近似对应Navier-Stokes方程,更高阶的近似可得到更复杂的宏观方程。
除了以上两种方法之外,是否存在发现流体力学方程的新方法?张俊教授团队通过分子模拟和机器学习相结合的方法,给出了肯定的答案。分子模拟不依赖于任何宏观控制方程,而是基于微观物理对分子的运动和碰撞过程进行建模,流体的密度、速度和温度等宏观量通过对分子信息的统计平均得到。目前,最为流行的两种分子模拟方法是直接模拟蒙特卡洛(DSMC)和分子动力学(MD)方法,分别在稀薄气体流动和微纳尺度流动领域得到了广泛应用。最近,张俊教授团队基于几类典型流动的DSMC模拟,生成宏观流场的时空演化数据,通过稀疏回归的方法确定了隐藏在宏观数据背后的控制方程(如图1所示)。

图1 基于分子模拟的数据驱动发现宏观控制方程。
该数据驱动发现控制方程的思想是预先设定宏观方程中的候选项(候选项列表需要足够大,根据流体力学方程的特点,幂次项和偏导数项的最高阶数可设置成3阶),然后基于数据进行稀疏回归以确定每一个候选项的系数。稀疏回归的核心是让尽量多的候选项系数为零,以得到最简化的宏观方程。张俊教授团队已有的研究表明,该数据驱动的方法可以得到与前述两种常用方法一致的动量方程、扩散方程以及涡量输运方程等,并能同时确定出粘性系数、扩散系数等与输运性质相关的参数。
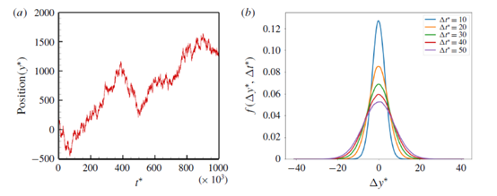
更进一步,张俊教授团队提出了直接基于分子运动轨迹的数据发现宏观控制方程的模式。如图2(a)所示,通过分子模拟记录分子的运动轨迹,然后对数百个模拟分子进行统计分析,得到随时间演化的分子位移的概率密度函数(图2(b))。同样,通过稀疏回归的方法可以确定概率密度函数的时空演化方程——Fokker-Planck类型方程,该方程实质上反应了在大时间尺度上,分子具有典型的布朗运动特性。

图2 (a)模拟分子的运动轨迹;(b)随时间变化的分子位移的概率密度函数。
将分子模拟和机器学习相结合是一种全新的发现宏观控制方程的方法,这方面的工作刚刚开始,其潜力还值得进一步挖掘。例如,在复杂流体或高温多组分气体中,应力和热流本构关系复杂,往往很难从理论上推导出完全普适的宏观控制方程,而基于分子模拟得到的数据去发现这些复杂问题中的宏观控制方程,有望打开该研究领域一扇新的大门。
完场足球赛果
张俊教授是论文的第一和通讯作者,他的主要研究方向是多尺度流动与传热,包括临近空间稀薄气体动力学、高温气体动力学,以及复杂多相流动的多尺度计算与分析等,提出了从稀薄到连续流域的多尺度粒子计算方法,发展了从微观分子模拟到宏观控制方程的数据驱动模式,是国家青年特聘专家。论文的第二作者是完场足球赛果
2019级硕士生马文军,他于2018年以完整足球比分
年级综合排名第4(总人数245人)获得免试研究生资格。该研究工作受到国家自然科学基金、北航青年拔尖人才等项目支持。
文章链接为: